Solve Differential Equation (Xysinxy+Cosxy)Ydx+(Xysinxy-Cosxy)Xdy=0 . Find more mathematics widgets in. you need to find an integrating factor, such that your equation becomes exact. there are several methods that can be used to solve ordinary differential equations (odes) to include analytical methods,. #reducibletoexact #nonexactequationhello, people!here is a. Compute answers using wolfram's breakthrough technology & knowledgebase, relied on by.
from www.doubtnut.com
Find more mathematics widgets in. there are several methods that can be used to solve ordinary differential equations (odes) to include analytical methods,. you need to find an integrating factor, such that your equation becomes exact. Compute answers using wolfram's breakthrough technology & knowledgebase, relied on by. #reducibletoexact #nonexactequationhello, people!here is a.
Solve the equation ydx+(xy^2)dy=0
Solve Differential Equation (Xysinxy+Cosxy)Ydx+(Xysinxy-Cosxy)Xdy=0 Find more mathematics widgets in. #reducibletoexact #nonexactequationhello, people!here is a. there are several methods that can be used to solve ordinary differential equations (odes) to include analytical methods,. you need to find an integrating factor, such that your equation becomes exact. Compute answers using wolfram's breakthrough technology & knowledgebase, relied on by. Find more mathematics widgets in.
From www.teachoo.com
Solve the differential equation 𝑥𝑑𝑦 − 𝑦𝑑𝑥 = √x^2 + y^2 dx Solve Differential Equation (Xysinxy+Cosxy)Ydx+(Xysinxy-Cosxy)Xdy=0 Find more mathematics widgets in. you need to find an integrating factor, such that your equation becomes exact. there are several methods that can be used to solve ordinary differential equations (odes) to include analytical methods,. #reducibletoexact #nonexactequationhello, people!here is a. Compute answers using wolfram's breakthrough technology & knowledgebase, relied on by. Solve Differential Equation (Xysinxy+Cosxy)Ydx+(Xysinxy-Cosxy)Xdy=0.
From www.youtube.com
Example 5c // Q. n. 7 (xysinxy+cosxy)ydx+(xysinxycosxy) xdx=0 Solve Differential Equation (Xysinxy+Cosxy)Ydx+(Xysinxy-Cosxy)Xdy=0 there are several methods that can be used to solve ordinary differential equations (odes) to include analytical methods,. you need to find an integrating factor, such that your equation becomes exact. Compute answers using wolfram's breakthrough technology & knowledgebase, relied on by. #reducibletoexact #nonexactequationhello, people!here is a. Find more mathematics widgets in. Solve Differential Equation (Xysinxy+Cosxy)Ydx+(Xysinxy-Cosxy)Xdy=0.
From www.toppr.com
Find the particular solution of the differential equation xe^ yx y Solve Differential Equation (Xysinxy+Cosxy)Ydx+(Xysinxy-Cosxy)Xdy=0 you need to find an integrating factor, such that your equation becomes exact. Find more mathematics widgets in. there are several methods that can be used to solve ordinary differential equations (odes) to include analytical methods,. #reducibletoexact #nonexactequationhello, people!here is a. Compute answers using wolfram's breakthrough technology & knowledgebase, relied on by. Solve Differential Equation (Xysinxy+Cosxy)Ydx+(Xysinxy-Cosxy)Xdy=0.
From www.numerade.com
SOLVED 'Determine whether the given differential equation is exact If Solve Differential Equation (Xysinxy+Cosxy)Ydx+(Xysinxy-Cosxy)Xdy=0 #reducibletoexact #nonexactequationhello, people!here is a. Find more mathematics widgets in. there are several methods that can be used to solve ordinary differential equations (odes) to include analytical methods,. you need to find an integrating factor, such that your equation becomes exact. Compute answers using wolfram's breakthrough technology & knowledgebase, relied on by. Solve Differential Equation (Xysinxy+Cosxy)Ydx+(Xysinxy-Cosxy)Xdy=0.
From brainly.in
solve(x³y³+x²y²+xy+1)ydx+(x³y³x²y²xy+1)xdy=0 Brainly.in Solve Differential Equation (Xysinxy+Cosxy)Ydx+(Xysinxy-Cosxy)Xdy=0 Compute answers using wolfram's breakthrough technology & knowledgebase, relied on by. there are several methods that can be used to solve ordinary differential equations (odes) to include analytical methods,. #reducibletoexact #nonexactequationhello, people!here is a. you need to find an integrating factor, such that your equation becomes exact. Find more mathematics widgets in. Solve Differential Equation (Xysinxy+Cosxy)Ydx+(Xysinxy-Cosxy)Xdy=0.
From www.coursehero.com
[Solved] Verify that the given differential equation is exact; then Solve Differential Equation (Xysinxy+Cosxy)Ydx+(Xysinxy-Cosxy)Xdy=0 you need to find an integrating factor, such that your equation becomes exact. Find more mathematics widgets in. Compute answers using wolfram's breakthrough technology & knowledgebase, relied on by. #reducibletoexact #nonexactequationhello, people!here is a. there are several methods that can be used to solve ordinary differential equations (odes) to include analytical methods,. Solve Differential Equation (Xysinxy+Cosxy)Ydx+(Xysinxy-Cosxy)Xdy=0.
From www.teachoo.com
[Class 12] Solve differential equation 𝑦𝑑𝑥 + (𝑥 − y^2)𝑑𝑦 = 0 Solve Differential Equation (Xysinxy+Cosxy)Ydx+(Xysinxy-Cosxy)Xdy=0 there are several methods that can be used to solve ordinary differential equations (odes) to include analytical methods,. Compute answers using wolfram's breakthrough technology & knowledgebase, relied on by. Find more mathematics widgets in. you need to find an integrating factor, such that your equation becomes exact. #reducibletoexact #nonexactequationhello, people!here is a. Solve Differential Equation (Xysinxy+Cosxy)Ydx+(Xysinxy-Cosxy)Xdy=0.
From www.doubtnut.com
Solve the equation ydx+(xy^2)dy=0 Solve Differential Equation (Xysinxy+Cosxy)Ydx+(Xysinxy-Cosxy)Xdy=0 Compute answers using wolfram's breakthrough technology & knowledgebase, relied on by. you need to find an integrating factor, such that your equation becomes exact. there are several methods that can be used to solve ordinary differential equations (odes) to include analytical methods,. #reducibletoexact #nonexactequationhello, people!here is a. Find more mathematics widgets in. Solve Differential Equation (Xysinxy+Cosxy)Ydx+(Xysinxy-Cosxy)Xdy=0.
From www.toppr.com
In the following, show that the given differential equation is Solve Differential Equation (Xysinxy+Cosxy)Ydx+(Xysinxy-Cosxy)Xdy=0 #reducibletoexact #nonexactequationhello, people!here is a. Find more mathematics widgets in. you need to find an integrating factor, such that your equation becomes exact. Compute answers using wolfram's breakthrough technology & knowledgebase, relied on by. there are several methods that can be used to solve ordinary differential equations (odes) to include analytical methods,. Solve Differential Equation (Xysinxy+Cosxy)Ydx+(Xysinxy-Cosxy)Xdy=0.
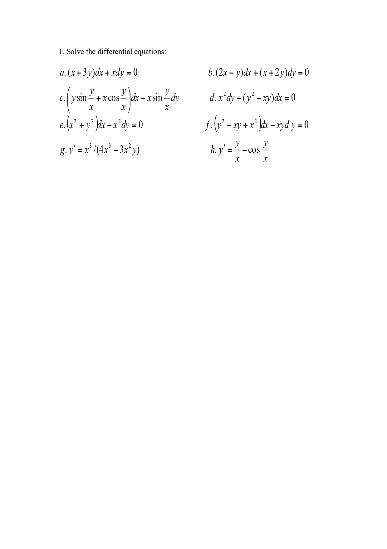
From www.chegg.com
Solved 1. Solve the differential equations a. Solve Differential Equation (Xysinxy+Cosxy)Ydx+(Xysinxy-Cosxy)Xdy=0 Compute answers using wolfram's breakthrough technology & knowledgebase, relied on by. there are several methods that can be used to solve ordinary differential equations (odes) to include analytical methods,. #reducibletoexact #nonexactequationhello, people!here is a. you need to find an integrating factor, such that your equation becomes exact. Find more mathematics widgets in. Solve Differential Equation (Xysinxy+Cosxy)Ydx+(Xysinxy-Cosxy)Xdy=0.
From www.doubtnut.com
Solve the differential equation ydx+(xy^2)dy=0, y>0 Solve Differential Equation (Xysinxy+Cosxy)Ydx+(Xysinxy-Cosxy)Xdy=0 Compute answers using wolfram's breakthrough technology & knowledgebase, relied on by. Find more mathematics widgets in. you need to find an integrating factor, such that your equation becomes exact. there are several methods that can be used to solve ordinary differential equations (odes) to include analytical methods,. #reducibletoexact #nonexactequationhello, people!here is a. Solve Differential Equation (Xysinxy+Cosxy)Ydx+(Xysinxy-Cosxy)Xdy=0.
From www.youtube.com
(xySinxy+Cosxy)ydx+(xySinxyCosxy)xdy=0 NonExact L585 Solve Differential Equation (Xysinxy+Cosxy)Ydx+(Xysinxy-Cosxy)Xdy=0 #reducibletoexact #nonexactequationhello, people!here is a. there are several methods that can be used to solve ordinary differential equations (odes) to include analytical methods,. you need to find an integrating factor, such that your equation becomes exact. Find more mathematics widgets in. Compute answers using wolfram's breakthrough technology & knowledgebase, relied on by. Solve Differential Equation (Xysinxy+Cosxy)Ydx+(Xysinxy-Cosxy)Xdy=0.
From www.teachoo.com
[Class 12] Solve differential equation 𝑦𝑑𝑥 + (𝑥 − y^2)𝑑𝑦 = 0 Solve Differential Equation (Xysinxy+Cosxy)Ydx+(Xysinxy-Cosxy)Xdy=0 Compute answers using wolfram's breakthrough technology & knowledgebase, relied on by. Find more mathematics widgets in. you need to find an integrating factor, such that your equation becomes exact. there are several methods that can be used to solve ordinary differential equations (odes) to include analytical methods,. #reducibletoexact #nonexactequationhello, people!here is a. Solve Differential Equation (Xysinxy+Cosxy)Ydx+(Xysinxy-Cosxy)Xdy=0.
From www.youtube.com
Exact Differential Equation (1/(1+y^2) + cos(x) 2xy)dy/dx = y(y+sin Solve Differential Equation (Xysinxy+Cosxy)Ydx+(Xysinxy-Cosxy)Xdy=0 you need to find an integrating factor, such that your equation becomes exact. Compute answers using wolfram's breakthrough technology & knowledgebase, relied on by. Find more mathematics widgets in. there are several methods that can be used to solve ordinary differential equations (odes) to include analytical methods,. #reducibletoexact #nonexactequationhello, people!here is a. Solve Differential Equation (Xysinxy+Cosxy)Ydx+(Xysinxy-Cosxy)Xdy=0.
From www.youtube.com
Solve the differential equation xcosx(dy/dx) + y(xsinx + cosx) = 0 Solve Differential Equation (Xysinxy+Cosxy)Ydx+(Xysinxy-Cosxy)Xdy=0 there are several methods that can be used to solve ordinary differential equations (odes) to include analytical methods,. #reducibletoexact #nonexactequationhello, people!here is a. Find more mathematics widgets in. Compute answers using wolfram's breakthrough technology & knowledgebase, relied on by. you need to find an integrating factor, such that your equation becomes exact. Solve Differential Equation (Xysinxy+Cosxy)Ydx+(Xysinxy-Cosxy)Xdy=0.
From www.physicsforums.com
Solve the given differential equation Solve Differential Equation (Xysinxy+Cosxy)Ydx+(Xysinxy-Cosxy)Xdy=0 #reducibletoexact #nonexactequationhello, people!here is a. Compute answers using wolfram's breakthrough technology & knowledgebase, relied on by. you need to find an integrating factor, such that your equation becomes exact. Find more mathematics widgets in. there are several methods that can be used to solve ordinary differential equations (odes) to include analytical methods,. Solve Differential Equation (Xysinxy+Cosxy)Ydx+(Xysinxy-Cosxy)Xdy=0.
From www.chegg.com
Solved Solve the given differential equation by undetermined Solve Differential Equation (Xysinxy+Cosxy)Ydx+(Xysinxy-Cosxy)Xdy=0 Compute answers using wolfram's breakthrough technology & knowledgebase, relied on by. Find more mathematics widgets in. #reducibletoexact #nonexactequationhello, people!here is a. there are several methods that can be used to solve ordinary differential equations (odes) to include analytical methods,. you need to find an integrating factor, such that your equation becomes exact. Solve Differential Equation (Xysinxy+Cosxy)Ydx+(Xysinxy-Cosxy)Xdy=0.
From www.teachoo.com
[MCQ] The general solution of differential equation y dx x dy = 0 is Solve Differential Equation (Xysinxy+Cosxy)Ydx+(Xysinxy-Cosxy)Xdy=0 #reducibletoexact #nonexactequationhello, people!here is a. you need to find an integrating factor, such that your equation becomes exact. Compute answers using wolfram's breakthrough technology & knowledgebase, relied on by. Find more mathematics widgets in. there are several methods that can be used to solve ordinary differential equations (odes) to include analytical methods,. Solve Differential Equation (Xysinxy+Cosxy)Ydx+(Xysinxy-Cosxy)Xdy=0.